Iedereen heeft weleens gehoord dat het toiletwater op het zuidelijk halfrond de andere kant op zou draaien. Of je hebt op het nieuws gezien dat orkanen en cyclonen tegenovergesteld draaien afhankelijk van of ze boven of onder de evenaar ontstaan. Maar klopt dat eigenlijk? En hoe zit dat precies? Waarom draaien orkanen überhaupt? En wat heeft dit te maken met Fluid Dynamics?
Wat is Fluid Dynamics (stromingsleer)?
Fluid dynamics (stromingsleer) is de tak van de natuurkunde die de beweging van vloeistoffen en gassen beschrijft. Simpel gezegd: alles wat kan vloeien of stromen valt onder dit vakgebied, denk bijvoorbeeld aan water, olie of lucht. In tegenstelling tot de niet-vervormbare starre lichamen uit de mechanica (zoals bij Rigid Body Dynamics), kunnen vloeistoffen wél van vorm veranderen en zich continu vervormen onder invloed van krachten. Een voorbeeld is water dat de vorm van zijn glas aanneemt of lucht die zich door elke kier perst. Stromingsleer omvat zowel vloeistofdynamica (bewegende vloeistoffen) als aerodynamica (bewegende gassen zoals lucht) en is onderdeel van de continuümmechanica, maar ditmaal bekijken we de materie op macroschaal en zoomen we niet in op losse moleculen.

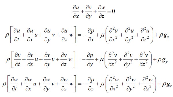
In fluid dynamics bestuderen we hoe krachten en energie zich gedragen in bewegende vloeistoffen, met behulp van vergelijkingen zoals die van Navier-Stokes (zie hierboven) om bijvoorbeeld druk, snelheid en stromingspatronen te beschrijven. Fluid dynamics heeft complexe wiskunde en zit vol deels onopgeloste problemen. Om problemen makkelijker op te lossen, maken ingenieurs en wetenschappers daarom vaak gebruik van computersimulaties, Computational Fluid Dynamics (CFD), om stromingen door te rekenen. Met CFD kunnen we in feite een digitale windtunnel of watertank nabootsen om te voorspellen hoe een vloeistof zal stromen. Maar je kunt er ook de aerodynamics van een vliegtuig mee nabootsen, zoals hieronder. Een veelgebruikt programma voor het uitvoeren van CFD’s is Ansys.

Waarom is stromingsleer zo belangrijk?
Stromingsleer is overal in de techniek én in de natuur. Het is van grote betekenis in waterbouwkunde, scheepsbouw, werktuigbouwkunde en de luchtvaarttechniek. Of het nu gaat om het ontwerpen van een schip dat soepel door de golven snijdt, een vliegtuig dat veilig lift genereert, een pomp die vloeistof efficiënt rondstuwt, of de aerodynamic van een F1-auto optimaliseren – zonder kennis van fluid dynamics kom je er niet. Hieronder staan een aantal voorbeelden beschreven:
- Voertuigen aerodynamisch maken: Bij de ontwikkeling van auto’s en vliegtuigen is luchtweerstand een cruciale factor. Door de vorm te optimaliseren met windtunneltests en CFD-simulaties, worden voertuigen zuiniger en stabieler. Een vleugelprofiel van een vliegtuig is direct gebaseerd op stromingsprincipes (denk aan het drukverschil boven en onder de vleugel dat lift genereert). Zelfs Formule 1-wagens zitten vol spoilers en diffusers die de luchtstroming manipuleren voor maximale grip.
- Energie opwekken: Windmolens en waterkracht-turbines zijn eigenlijk fluid-dynamics-machines. Een windturbineblad heeft het profiel van een vliegtuigvleugel, maar dan om wind te vangen in plaats van te vliegen. In de waterbouwkunde gebruiken ingenieurs fluid dynamics en CFD’s om dijken en stormvloedkeringen zo te ontwerpen dat ze extreme stromen aankunnen wat stromingsleer essentieel maakt voor het beschermen van Nederland tegen overstromingen.
- Procesindustrie en koeling: In de chemische industrie bepalen stromingsprincipes hoe vloeistoffen door pijpleidingen en reactoren bewegen. Turbulentie, drukval en menging van de vloeistoffen moeten goed doorgerekend worden om veilige en efficiënte processen te garanderen. Ook computerchipfabrikanten en IT’ers maken er gebruik van: de koelingssystemen van data-centra en elektronica zijn ontworpen met kennis van lucht- en vloeistofstroming om warmte snel af te voeren.
- Medische toepassingen: Zelfs in ons lichaam speelt stromingsleer een rol. Het bloed dat door onze aderen stroomt, volgt de wetten van fluid dynamics. Biomedisch ingenieurs gebruiken stromingsmodellen om te begrijpen hoe het hart pompt of hoe een kunsthartklep het beste ontworpen kan worden. Ook bij bijvoorbeeld beademingsapparaten of medicijnaerosolen (zoals inhalers) is kennis van luchtstroming cruciaal.
En zo kunnen we nog wel even doorgaan. Van het weer en klimaat tot aan astrofysica, fluid dynamics duikt overal op. Het een actief onderzoeksgebied, met moderne supercomputers die volop simulaties van lucht- en waterstromen draaien, of het nu is om morgen het weer te voorspellen of om de aerodynamica van de nieuwste hyperloop-capsule te testen.
Kortom, zonder stromingsleer zouden ingenieurs en wetenschappers geen idee hebben over hoe vloeistoffen en gassen zich gedragen. En dat is erg belangrijk, want fluid dynamics stelt ons in staat de wereld om ons heen beter te begrijpen én te verbeteren.
Het Corioliseffect – feit of fabel?
Nu kunnen we eindelijk de vraag uit de introductie beantwoorden: draaien orkanen en het toiletwater op het andere halfrond écht andersom? Wat is het Corioliseffect, en wat heeft het te maken met de stromingsleer?

Het Corioliseffect ontstaat door de draaiing van de aarde en zorgt ervoor dat bewegende lucht- en watermassa’s een zijdelingse afbuiging krijgen ten opzichte van de aarde. Op het noordelijk halfrond buigt een stroming daardoor naar rechts af, op het zuidelijk halfrond naar links. In de praktijk betekent dit dat grote lagedruksystemen (zoals tropische stormen) op het noordelijk halfrond tegen de klok in gaan draaien, en op het zuidelijk halfrond met de klok mee. In de satellietfoto hierboven kun je de orkaan Milton zien, die rondom het oog van de storm tegen de klok in draait op het noordelijk halfrond. Als deze storm op het zuidelijk halfrond was geweest, zou hij de andere kant op draaien!
Maar hoe zit het dan met dat toilet of je gootsteen? Hier komen we op het verschil tussen grote schaal en kleine schaal. Hoewel op grote schaal de draaiing van de aarde bepalend is voor de vorming en draairichting van stromingen, is het Corioliseffect hier veel te zwak voor op kleine hoeveelheden, zoals in je wasbak of wc-pot. Met andere woorden: het spoelwater in Australië draait niet altijd de andere kant op dan in Nederland. In beide hemisferen kun je afvoeren vinden die zowel links- als rechtsom draaien. De doorslaggevende factoren bij zo’n kleine draaikolk zijn de vorm van je wasbak, hoe symmetrisch het water erin zit, en of je misschien al een kleine werveling veroorzaakte (bijvoorbeeld door de richting van de straal). Die initiële omstandigheden bepalen de draairichting, en dus niet de aardrotatie.
Bij een orkaan of zeestroom ligt het anders door de gigantische schaal ervan; ze beslaan honderden kilometers en blijven dagen actief. Dat is meer dan genoeg tijd voor de aarde om draaiing te geven aan deze systemen. Op zulke grote schalen is het Corioliseffect goed te zien. Een orkaan zal bijvoorbeeld nooit netjes over de evenaar trekken, mdat het effect daar (binnen ~5 breedtegraden boven of onder de evenaar) te zwak is om de storm te doen draaien. Sterker nog, tropische stormen kunnen daar überhaupt niet ontstaan: de aardrotatie is echt nodig om de kenmerkende draai te krijgen. Daarnaast worden ze zelfs een beetje weggeduwd van de evenaar. Daarom zie je orkanen in de Atlantische Oceaan altijd boven de 5 à 10° noorderbreedte ontstaan.
Wat voor toepassingen heeft het Corioliseffect eigenlijk? Meteorologen verwerken het standaard in hun computermodellen, om accurate weersvoorspellingen te kunnen doen. Anders zouden wind- en zeestromen in de modellen namelijk de verkeerde kant op bewegen. Voor ingenieurs is het effect bijvoorbeeld relevant bij het ontwerp van zeer gevoelige apparatuur. Zo kan een Coriolis-debietmeters de massa-flow van een vloeistof of gas extreem nauwkeurig meten door gebruik te maken van dit principe. Er wordt hier een buisje met de vloeistof heen en weer getrild, en de beweging van de vloeistof wekt een minuscule draaiende kracht op (inertie) die evenredig is aan de massastroom. Door die verdraaiing te meten, berekent het apparaat direct hoeveel massa er per seconde doorstroomt. Deze Coriolis-meters staan bekend als de meest precieze flowmeters die we hebben en worden breed ingezet in allerlei industrieën.
Conclusie
Fluid dynamics is iets waar je misschien niet dagelijks bij stilstaat, maar dat overal invloed op heeft. Van minuscule koelvloeistofkanaaltjes in je laptop tot gigantische luchtstromen rond de aarde: waar iets stroomt, is stromingsleer aan het werk. Voor ingenieurs is het een onmisbare toolkit omdat het ervoor zorgt dat vliegtuigen kunnen vliegen, dijken blijven staan, motoren niet oververhit raken en achtbanen veilig door de bochten suizen. Het vakgebied zit vol lastige wiskunde en nog lang niet alles is tot op de komma voorspelbaar, maar met moderne simulaties komen we een heel eind.
En het Corioliseffect? Dat is het perfecte voorbeeld van hoe de natuur subtiele regels volgt die enorme gevolgen kunnen hebben, zoals het draaien van een orkaan. Fluid dynamics maakt die onzichtbare krachten zichtbaar. Best indrukwekkend, toch?
Robert Dilber
Bronnen:
- Library of Congress – “Does water go down the drain counterclockwise in the northern hemisphere and clockwise in the southern hemisphere?”
- Fiveable – “12.4 Coriolis effect”
- Weather.gov – “Hurricane Facts”
- Dwyeromega – “What is a Coriolis Flow Meter and How Does it Work?”
- Peter’s Engineering – Afbeelding Navier Stokes Equation
- Ansys – Afbeelding CFD vliegtuig
- De Morgen – Afbeelding orkaan Milton
